Theory
The Manchester Particle Theory Group is home to around 30 researchers. As theoretical particle physicists, we develop and exploit powerful mathematical and computational tools to predict how subatomic particles behave. These predictions are tested against data from particle physics experiments, which probe nature on tiny length scales, and astronomical observations of our universe, which probe nature on its largest scales.
The behaviour of subatomic particles is determined by their intrinsic properties, like their mass, and the forces that they experience. These forces can be described by mathematical frameworks called quantum field theories (QFTs). The strong force, experienced by particles with colour charge like quarks and gluons, is one example, and the QFT that describes it is quantum chromodynamics (QCD). Electromagnetism and the weak force are two other examples, and these two forces are unified in the Standard Model (SM) of particle physics via the electroweak theory.
QCD and Collider Physics
Academic Staff: Mrinal Dasgupta, Thomas Cridge, Christoph Englert, Jeff Forshaw, Michael Seymour
Researchers: Emmet Byrne, Hesham El Faham, Jack Holguin, Saad Nabeebaccus
A detailed understanding of the forces of Nature in conjunction with the simulation of particle collisions is vital for analysing data from facilities like CERN’s Large Hadron Collider (LHC). While we use the language of quarks and gluons (collectively called partons) to do so, these are not the states that propagate out of the collision and into particle detectors. Instead, quarks are confined into hadrons like protons and pions, and this makes understanding the underlying QFT fascinating.
One key aspect is to obtain a precise prediction of the highest energy “primary” parton-parton scattering. We might need to describe only the first few high-energy QCD corrections to this process (the “fixed-order” regime) or sum up the effects of many lower-energy parton emissions (the “resummation” regime). We are working on ways to improve the precision of theoretical predictions of proton collisions in both regimes.

Structure of an LHC dijet event simulated by Herwig. Lines near the centre of the diagram represent the partonic view of the event. Curly lines represent gluons and thin, straight lines with arrows represent quarks. The larger grey ‘blobs’ represent their confinement into hadrons (the small yellow blobs) that are seen by the detector. Image credit: Stefan Gieseke/Herwig collaboration.

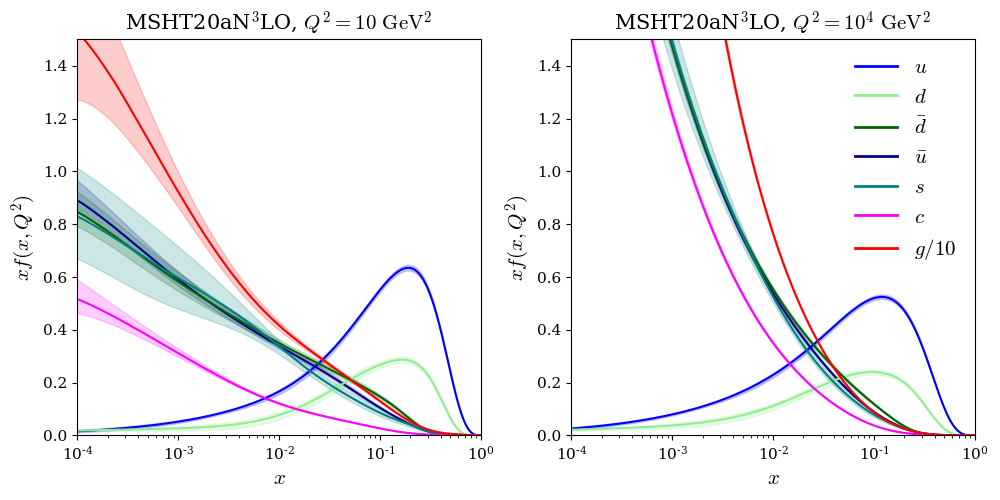
Parton Distribution Functions (PDFs) at the highest known order – approximate N3LO (world-first) describing the longitudinal momentum dependence of the partons (quarks and gluons) in the proton and how this changes with energy. Reproduced from https://arxiv.org/abs/2207.04739.
A key ingredient for the precise theoretical prediction of parton collisions at colliders such as the LHC is knowledge of proton structure. This is encoded in Parton Distribution Functions (PDFs) which describe the energy and longitudinal momentum dependence of the quarks and gluons inside the proton. The question of proton structure at high energies is therefore both an interesting theoretical one, but also of vital experimental importance, acting as both a key input and output of the vast majority of analyses at the LHC and beyond. These PDFs are determined by combining the highest order QCD predictions of LHC processes with the latest precision LHC data. Members of our group are world-leading in this regard, leading the UK-based MSHT PDF collaboration as well as the wider PDF4LHC working group.
This knowledge of proton structure is also an important limitation in the determination of several key Standard Model parameters, from the strong coupling constant of QCD to the electroweak mixing angle and heavy quark masses.
At the same time, with increased experimental precision we require a more detailed knowledge of theoretical uncertainties on precision predictions, this has motivated us to examine new ways of describing theory uncertainties at higher orders and in turn the impacts this has on collider phenomenology in particle physics.
We are experts in analytical all-orders calculations in QCD and their translation into “event generator” computer codes. In the first stage of a collision, the few partons involved can radiate additional partons and an extended system, called a parton shower, is produced. The properties of this shower can be calculated from perturbative QCD. Once the typical separation of the partons reaches the typical sizes of hadrons, non-perturbative effects become important and first-principles calculations are not available. Instead, phenomenological models of confinement are used. We are actively developing both the underlying theory and Monte Carlo event generators.
Herwig is one of three generators that simulate this process, and it is used by all collider experiments in the world. A limitation of existing generators is that they neglect some quantum colour interference effects. These can be included in a new approach at the level of a quantum mechanical density matrix. The CVolver project aims to achieve this and, with collaborators in Graz, we are leading the international effort to construct a “full colour” event generator. Parton showers also serve the key purpose of summing large logarithms for general multi-scale observables, which abound at hadron colliders like the LHC. Group members working on the PanScales project are contributing to achieving improved logarithmic accuracy of showers, which is needed for achieving a precise description of multi scale observables.
The output of these codes ultimately allows us to predict the jets of hadrons that are the experimental footprints of partons produced at colliders like the LHC. Through our work to develop a deep understanding of QCD radiation and jets, we can explore the TeV scale at the LHC and possible future colliders, with a view to discovering new physics beyond the Standard Model.

Results from the Monte Carlo event generator Herwig 7.1 for the cross-section of W bosons to at least a number N of jets. Reproduced from https://arxiv.org/abs/1705.06919.
Physics Beyond the Standard Model
Academic Staff: Richard Battye, Christoph Englert, Jeff Forshaw, Charanjit K. Khosa, Peter Millington, Apostolos Pilaftsis, Yu-Dai Tsai
Researchers: Steven Cotterill, Hesham El Faham, Jamie McDonald, Ross Jenkinson
New physics is needed to explain shortcomings of the Standard Model and resolve some of the most challenging questions in particle physics: e.g., the origin of neutrino masses, the origin of the matter-antimatter asymmetry of our universe, the natures of the dark matter and dark energy that together make up 95% of its energy budget, the huge discrepancy between the electroweak and quantum gravity scales, the apparent instability of the electroweak vacuum, and the absence of CP violation in QCD. There are also tantalising hints of deviations from the Standard Model in heavy flavour physics (the physics of particles like muons and bottom quarks).
Collider BSM

An example of how EFT-based measurements can inform specific scenarios of physics beyond the Standard Model, ranging from extensions of the scalar sector (such as singlet or two-Higgs-doublet, 2HDM, models), through strongly interacting composite Higgs models (CHMs), to exotic Higgs couplings that resemble dilatons — particles associated with spontaneously broken conformal symmetry. Reproduced from https://arxiv.org/abs/2307.14809.
New physics beyond the Standard Model (BSM) may manifest itself through new particles. If these are heavier than the direct energy reach of colliders, their presence can still be revealed through modifications of the interactions among known particles. Effective Field Theory (EFT) parametrises such deviations agnostically, thereby extending the sensitivity of collider experiments to energy scales beyond those probed directly. EFTs can also shed light on the nature of the electroweak scale and its possible connection to currently unexplained phenomena, including dark matter and the observed matter–antimatter asymmetry of the Universe.
We contribute to the EFT programme at colliders through proof-of-principle analyses that lay the foundation for enhancing measurements at current and future experiments. In parallel with our EFT-based studies, we investigate the phenomenology of concrete beyond-the-Standard-Model scenarios designed to address known shortcomings of the SM at currently accessible collider energies. Our work on Collider BSM is closely linked to the group’s expertise in cosmology and precision calculations, exploiting the quantum nature of new theories to progress collider physics. In this way, we motivate new exploration strategies, often in close collaboration with our experimental colleagues in Manchester, to maximise the scientific return from collider data. This research is complemented by the development and application of modern machine-learning techniques, which have the potential to significantly enhance collider sensitivity to new interactions.
Cosmology and Astroparticle Physics

The fifth force experienced by a test mass m due to a source mass M interpreted as deviations from Einstein’s General Relativity (left) and elementary particle interactions of a force mediator S mixing with the SM Higgs H (right). Image credit: Peter Millington.
The new particles could be much lighter than the collider energy reach, and examples include axions, which can solve the strong CP problem or provide a candidate for dark matter. We are exploring novel signatures, ranging from neutrino and millicharged-particle experiments to space-based quantum systems. Light new physics can also be related to how the Standard Model is coupled to gravity, and whether the correct theory of gravity is Einstein’s general relativity. Extended gravitational theories can lead to new long-range forces of nature, called fifth forces, and impact the evolution of our universe and the dynamics of astrophysical objects. They can also affect precision experiments based on atom interferometry and lead to violations of the universality of free fall. We are making precise predictions for fifth force models, which account for the screening mechanisms that allow them to evade local tests of gravity, while still impacting large-scale dynamics.
There are good reasons to believe that QFT is insufficient to fully describe quantum gravity. Recent developments in black hole physics and holography (the idea that all information about a system can be encoded in a lower dimensional projection of that system) suggest that spacetime and its dynamics are features that emerge from quantum entanglement. We are beginning to explore these ideas by exploiting our expertise in the theory of open quantum systems, and by making connections with the areas of quantum information and condensed matter physics.





